计划从事教师职业的小伙伴们看过来!近日,东莞多所学校(幼儿园)陆续发布招聘公告,面向社会公开招聘教师及幼儿园教职工。其中大岭山镇特聘教师年薪高达25万元。
东莞中学

东莞中学因工作需要,现面向社会招聘若干名编外教师,聘期为2025年8月至2026年7月。
招聘计划如下表:

备注:以上待遇包含单位缴纳的公积金和社保。试用期一个月,试用期满且合格者予以聘用。
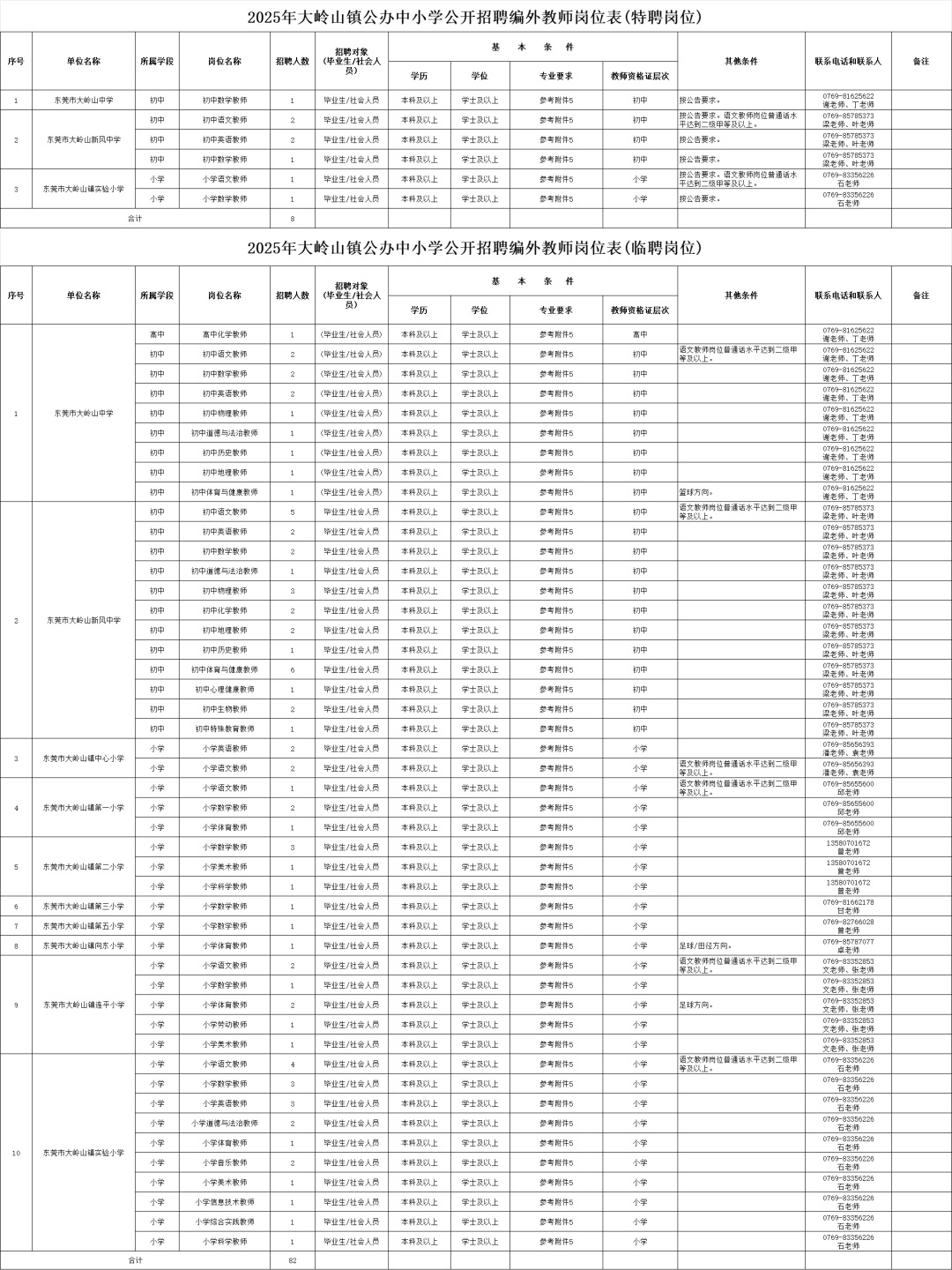
大岭山
大岭山镇教育管理中心现面向全国公开招聘90名编外教师,其中临聘教师年薪13万-15万元,特聘教师年薪25万元。以上待遇包含个人和单位负担的五险一金等,具体由用人单位按该镇有关规定执行。

常平镇
常平镇教育管理中心计划面向全国公开招聘不少于109名中小学临聘教师,包括至少53个初中教师岗位和54个小学教师岗位以及2个特殊教育教师岗位。

东莞市常平镇教育管理中心下属公办中小学属公益一类事业单位,经费由财政全额核拨,被聘用者为镇临聘教师,合同期限为3学年(试用期为一学年)。初中临聘教师年薪待遇为人均人员经费17万元,小学临聘教师年薪待遇为人均人员经费16万元。以上待遇包含个人和单位负担的五险一金,不含班主任、晚自修、课外活动等津贴。
樟木头
樟木头镇教育管理中心计划公开招聘32名初中编外教师,薪酬参照樟木头镇各公办中小学有关工资分配方案执行,年薪约12万元(含个人和单位负担的五险一金等),享有与在编教师同等的职称晋升、评优评先机会。

石排
石排镇第一幼儿园是石排镇人民政府创办的一所公办幼儿园。为进一步充实第一幼儿园工作人员队伍,提高教育服务质量,根据幼儿园发展的需要,向社会公开招聘教职工。
招聘岗位及条件如下表:

上述学校的招聘详情,请到所属镇官方公众号(教育管理中心)查询。